О Государственной поверочной схеме для СИ плоского угла и о нивелирах
Практика применения и метрологического обеспечения нивелиров в контексте Государственной поверочной схеме для средств измерений плоского угла.
В соответствии с РМГ 29-2013 «Метрология. Основные термины определения» поверочная схема — это иерархическая структура, устанавливающая соподчинение эталонов, участвующих в передаче единицы или шкалы измерений от исходного эталона средствам измерений (с указанием методов и погрешностей при передаче), утверждаемая в установленном порядке в виде нормативного документа.
Поверочные схемы используются для установления метрологической прослеживаемости результатов измерений и являются основой для создания методик поверки средств измерений. В связи с этим к их структуре и содержанию должен применяться взвешенный, четко выверенный, вдумчивый подход, позволяющий однозначно определить взаимосвязь между средствами измерений и эталонами и при этом строго выдерживать требования к точности передачи единицы величины по иерархической цепочке от самого верха до самого низа. Поэтому разработчик поверочной схемы должен знать не только нюансы работы с высшими эталонами, но и хотя бы иметь представление о принципах работы средств измерений и их точности, что позволит ему (разработчику) грамотно выбрать эталоны и методы для передачи единицы величины от эталонов к средствам измерений.
Развитие измерительной техники и повышение точности измерений, а также появление новых методов измерений привели к тому, что Государственная поверочная схема, содержащаяся в ГОСТ 8.016-81 по ряду положений перестала отвечать современным требованиям и экстренно нуждалась в пересмотре.
19 января 2016 года приказом №22 Федерального агентства по техническому регулированию и метрологии была введена в действие новая Государственная поверочная схема для средств измерений плоского угла (далее ГПС 22-16). Этот приказ вместе с поверочной схемой утратил силу с 30 апреля 2019 года в соответствии с приказом №2482 Федерального агентства по техническому регулированию от 26 ноября 2018 года, который вводит в действие новую Государственную поверочную схему для средств измерений плоского угла (далее ГПС 2482-18). Столь короткий промежуток в сроках действия ГПС 22-16 был обусловен целым рядом недостатков, содержащихся в ней.
Пришедшая ей на замену ГПС 2482-18 содержит намного более подробную информацию о соподчинении эталонов и средств измерений, разбитую на четыре части. В ней наконец-то нашли отражение ранее абсолютно нигде не представленные геодезические приборы — нивелиры оптические. И тем не менее данная поверочная содержит целый ряд ошибочных положений.
Во-первых. Во второй части схемы почему-то отсутствуют оптические линзовые компенсаторы, с помощью которых поверяются автоколлиматоры в соответствии с ГОСТ Р 8.874-2014, хотя они (компенсаторы) совмещают в себе функции нашедших место в поверочной схеме поворотного стола, используемого для поверки горизонтальной шкалы, и экзаменатора, используемого для поверки вертикальной шкалы.
Во-вторых. Автоколлиматоры с погрешностью 1'' в соответствии со схемой являются эталонами второго разряда, в то время как автоколлиматоры с погрешностью 0,5'' таковыми не являются и отнесены к средствам измерений.
В-третьих. Эталонами 2-го разряда в четвертой части схемы являются теодолиты и тахеометры с СКП измерений угла одним приемом 0,5''-1'', а эталонами 4-го разряда теодолиты и тахеометры с СКП угловых измерений 5''. Логично было бы предположить, что где-то между ними будет размещаться теодолит с СКП равным 2'' (типа Т2, 2Т2, 2Т2К, 2Т2КА, 3Т2КП, 3Т2КА). Но они отнесены в разряд средств измерений.
В-четвертых. Теодолиты 2-го разряда с погрешностью 1'' используются при поверке установок 3-го разряда для поверки тахеометров, теодолитов и нивелиров. В то же время автоколлиматоры такой же точности для тех же работ использовать нельзя, хотя именно с помощью таких и более точных автоколлиматоров следует определять неисключенную погрешность выведения в горизонтальное положение визирной оси автокоолимационных установок для поверки нивелиров. Кроме того следует учитывать тот факт, что габариты секундных теодолитов не позволяют использовать их для поверки установок коллиматорных типа УК-1, так как точка пересечения вертикальной оси теодолита и оси вращения его трубы находится намного выше точки пересечения визирных осей коллиматоров установки и поля зрения теодолита и коллиматоров не перекрываются совершенно, в следствие чего провести какие-либо измерения невозможно.
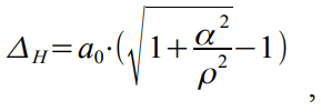
В-пятых. Не смотря на то, что в рассматриваемой поверочной схеме наконец-то появились нивелиры, они совершенно не могут выступать в качестве хоть какого-нибудь эталона (только в качестве СИ), хотя в ряде методик поверки высокоточные нивелиры (типа Н-05) выступают как- раз в этом качестве. Кроме того (и это главное) точностные характеристики нивелиров в поверочной схеме указаны в угловых секундах. И это отнюдь не угловое разрешение трубы нивелира, что было бы вполне логично, а значение средней квадратической погрешности. Значения погрешности нивелиров, по логике поверочной схемы, получены, исходя из прямой функциональной зависимости линейной погрешности нивелирования от расстояния нивелирования (1 км). Так для нивелиров с вкладом в погрешность нивелирования равным 0,3 мм на 1 километр двойного хода (для нивелиров цифровых типа DiNi 0.3 mm) указывается угловая погрешность 0,06'' (atan (0,3/1 000 000) = 0,0619''), а для нивелиров с вкладом 10 мм на 1 километр двойного хода (нивелиры оптические типа Н-10) указывается погрешность 2'' (atan (10,0/1 000 000) = 2,063''). Для поверки высокоточных и точных нивелиров в соответствии с ГПС используется некий высокоточный компаратор с СКП измерений 0,28''. Все это говорит об абсолютном непонимании разработчиками рассматриваемой поверочной схемы принципов и правил геометрического нивелирования, о чем будет ниже дано подробнейшее разъяснение.
В-шестых. При передаче единицы величины от эталона 4-го разряда (теодолиты и тахеометры с погрешностью 5'') теодолитам и тахеометрам с погрешностью 15''-30'' и 60'' (теодолиты с погрешностью измерений 60'' давно сняты с производства, а тахеометров такой точности никогда и не производилось) используется некий компаратор. Но подобных компараторов не существует как таковых, как не существует и методов подобной передачи единицы величины.
В-седьмых. В качестве рабочего эталона 1-го разряда применяется некий компаратор для поверки нивелиров с диапазоном измерений 0...10' и погрешностью измерений 0,28''. Остается непонятным, что это за компаратор и почему он применяется для поверки нивелиров с погрешностью 0,06''? Кроме того указанный диапазон измерений (0...10') является явно излишним, так как предельно-допустимое значение угла между визирной осью нивелиров любых типов и моделей и плоскостью горизонта составляет 10''.
Перечисленные выше недостатки являются системными и требуют скорейшего устранения во-избежание пагубных последствий для метрологического обеспечения средств измерения плоского угла в общем и геодезических средств измерений в частности.
Теперь необходимо более подробно рассмотреть вопросы по назначению нивелиров и их месту в рассматриваемой поверочной схеме. Начать, на мой взгляд, следует с того, что нивелиры сами-по-себе не могут являться средством измерений — они являются частью измерительного комплекса «нивелир-рейка» и по сути представляют собой технически- сложные оптические отсчетные устройства (приборы), реализующие горизонтальное (или близкое к горизонтальному) положение визирной оси, с помощью которых производится считывание показаний со штриховых шкал (нивелирных реек), располагающихся на пунктах земной поверхности. Каждая из составляющих этого измерительного комплекса поверяется по- отдельности, но применяются совместно при нивелировании, точность которого напрямую зависит от того, какие составляющие для этого применяются. Так, используя точный нивелир совместно с нивелирной рейкой технической точности, можно получить результаты только технической точности, что совершенно не означает, что нивелир не соответствует определенным требованиям. То же можно сказать и о неудовлетворительных результатах измерений в случае несоблюдения требований специальных инструкций по нивелированию.
Как любое другое отсчетное устройство, нивелир вносит свой вклад в значение СКП нивелирования. И в первую очередь на инструментальную погрешность нивелира оказывает влияние увеличение трубы нивелира, значение которого не меняется со временем и является конструктивной особенностью инструмента, подлежащей выборочному контролю при выпуске с производства, проводимому в целях оценки соответствия выпускаемой продукции требованиям конструкторской документации. То есть такой контроль является одним из элементов технологической цепочки производства.
Разберем более подробно требование, предъявляемое рассматриваемой поверочной схемой к погрешности нивелиров. Как уже говорилось выше, значения погрешности нивелиров, по логике поверочной схемы ГПС 2482-18, получены, исходя из прямой функциональной зависимости линейной погрешности нивелирования от расстояния нивелирования (1 км). Что же это будет означать на практике?
Предположим, что используются нивелир Н-3 и нивелирная рейка РН-3-3000.
Длина нивелирной рейки, исходя из обозначения, равна 3 м. Нетрудно посчитать, что угловой размер рейки на расстоянии 1 км будет составлять 10,3'. Угол поля зрения нивелира Н-3 по вертикали составляет 1º 20', что почти в восемь раз больше углового размера рейки, расположенной на расстоянии 1 км от нивелира. То есть, реализуя на деле принцип вычисления погрешности нивелира, заложенный в рассматриваемой поверочной схеме, в поле зрения нивелира мы увидим картину, приведенную на рисунке 1.
Рисунок 1 — Поле зрения нивелира Н-3 и изображение в нем нивелирной рейки, расположенной на расстоянии 1 км от нивелира
Нетрудно догадаться, что провести какие-либо отсчеты по рейке в данном случае не представляется возможным, что полностью опровергает требования, предъявляемые к нивелирам рассматриваемой поверочной схемой.
Чтобы понять суть рассматриваемой проблемы и найти пути ее решения, необходимо хотя бы в общих чертах ознакомиться с принципами геометрического нивелирования и источниками погрешности нивелирования.
В соответствии с ГОСТ 22268 нивелирование - это определение превышений. Если рассматривать данное определение более подробно, то под нивелированием следует понимать вид геодезических измерений, в результате которых определяют превышения точек (разность высот), а также их высоты над принятой уровенной поверхностью. По результатам нивелирования развивают нивелирные сети, изображают рельеф местности на планах и картах, строят профили земной поверхности, составляют организационно-хозяйственные планы объектов и т.д. Существует несколько видов нивелирования: геометрическое, тригонометрическое, барометрическое, гидростатическое, механическое.
Использование оптических нивелиров для проведения данного вида работ относит нас к понятию геометрического нивелирования, процесс которого необходимо рассмотреть подробнее для понимания того, какие факторы влияют на его точность и какие из этих факторов имеют самое непосредственное отношение к поверяемому нивелиру.
Обратимся снова к ГОСТ 22268, где геометрическое нивелирование определяется как нивелирование при помощи геодезического прибора с горизонтальной визирной осью. На самом деле данное определение не совсем раскрывает сущность геометрического нивелирования и вводит неискушенного читателя в заблуждение. Дело в том, что геодезический прибор с горизонтальной визирной осью (нивелир) по сути является не средством измерения, а технически сложным оптическим отсчетным устройством. Средством же измерения является измерительный комплекс, состоящий из нивелира и по крайней мере одной нивелирной рейки. Рассматривая определение, данное в ГОСТ 22268, более подробно, можно сказать, что под геометрическим нивелированием понимается нивелирование горизонтальным лучом визирования. Этот вид нивелирования выполняют с помощью геодезического прибора нивелира и реек. Данный метод наиболее распространен и относительно прост. Его применяют для определения превышений с высокой степенью точности, когда погрешность при определении превышений с помощью, например, нивелира Н- 05 и нивелирных реек РН-05 составляет не более 3 мм на 1 км расстояния.
Рейку устанавливают на таком расстоянии от инструмента, чтобы при визировании трубой можно было уверенно отсчитывать десятые доли наименьшего деления рейки.
В зависимости от положения нивелира относительно нивелируемых точек различают два способа геометрического нивелирования:
- нивелирование из середины;
- нивелирование вперед.
Рассмотрим более подробно процесс нивелирования из середины.
Рисунок 2 — Нивелирование на станции
При геометрическом нивелировании способом из середины (рисунок 2) на начальной (задней) и определяемой (передней) точках ставят отвесно рейки с делениями, обозначенными снизу вверх. Между рейками ставят нивелир. Его визирную ось приводят в горизонтальное положение и наводят последовательно на заднюю (А), а затем на переднюю (В) точки и берут отсчеты а и b. Превышение hAB между измеряемыми точками вычисляется по формуле:
hАВ =a−b ,
Расстояние от нивелира до рейки называют плечом. Различают соответственно заднее и переднее плечо, они должны быть приблизительно одинаковыми при измерениях способом из середины.
Обычно в качестве задней точки выбирают исходный репер с известной отметкой НА. Тогда отметка передней точки (НВ) определится по формуле:
H B =H A+(±hАВ) ,
Знак «–» в превышении говорит о том, что передняя точка В ниже чем задняя А. Знак «+» означает, что передняя точка выше задней.
Взять отсчет по рейке – означает отсчитать число делений рейки от ее основания (пятки) до горизонтальной визирной оси.
Для передачи высот на большие расстояния применяют нивелирование с нескольких станций, связанных между собой общими точками. Такое нивелирование называют нивелирным ходом (рисунок 3).
Рисунок 3 — Нивелирный ход
Превышение между точками А и L будет равно алгебраической сумме промежуточных превышений:
hАL = hАB+hBC +...+ hKL ,
Зная отметку одной из точек, например НA, можно всегда вычислить отметку точки L:
H L= H A+(±hАL ) ,
Как мы видим из сказанного, главным предназначением нивелира является задание горизонтальной плоскости, определяемой визирной осью при вращении нивелира вокруг вертикальной оси, и снятие отсчетов по нивелирным рейкам. То есть нивелир является отсчетным устройством, которое привносит определенный вклад в бюджет средней квадратической погрешности нивелирования на станции и, соответственно, в нивелирном ходу. А это значит, что применение по отношению к нивелиру такой характеристики, как погрешность нивелира, нашедшее отражение в ряде нормативных документов является неправомерным и технически абсолютно неграмотным. В действительности стоит говорить о погрешности нивелирования и о вкладе в ее значение составляющей, обусловленной конструктивными особенностями и неточностью настройки отсчетного устройства (нивелира).
На точность определения превышений влияют многочисленные факторы, среди которых основными являются: влияние кривизны Земли и рефракции атмосферы; невыполнение главного условия нивелира; погрешности отсчётов по шкалам реек; погрешности установки зрительной трубы; погрешности в нанесении делений шкал реек и др.
Рассмотрим влияние указанных погрешностей и факторов на точность нивелирования. Для этого обратимся к книге, написанной Г. Г. Покладом, «Геодезия: Учеб. пособие для вузов».
1. Влияние кривизны Земли
На физической поверхности Земли на расстоянии L находятся точки А и В, превышение между которыми равно h (рисунок 4).
Рисунок 4 — Влияние кривизны Земли, атмосферной рефракции и невыполнения главного условия нивелира на точность нивелирования
Установим нивелир точно посредине между точками А и В и возьмём отсчёты по рейкам, полагая, что световой луч (1) в направлении визирной оси распространяется в атмосфере прямолинейно. Для правильных отсчётов по рейкам следовало бы потребовать, чтобы световой луч проходил по уровенной поверхности, определяемой высотой прибора, т.е. по пути (2). В этом случае превышение между точками будет соответствовать истинному его значению:
hист=З2−П 2 ,
где З2 и П2 — отсчеты по задней и передней рейкам соответственно при условии прохождения визирного луча по уровенной поверхности.
На самом деле мы имеем:
h1 =З1− П 1 ,
Очевидно, что для симметричной схемы, изображенной на части «а» рисунка 4, погрешности в отсчётах по рейкам ∆З1 = З1 – З2и ∆П1 = П1 – П2, определяемые влиянием кривизны Земли, будут одинаковыми, поскольку LA = LB. Следовательно:
h=( З2+Δ З1 )−( П 2 +Δ П 1)=З2− П 2=hист ,
То есть погрешность нивелирования, обусловленная кривизной земли может быть полностью исключена из результатов измерений посредством выполнения нивелирования методом «из середины».
При нивелировании вперёд, изображенном на части «б» рисунка 4, значение ∆З1 значительно меньше значения ∆П1, в связи с чем погрешность ∆П1практически полностью входит в значение измеренного превышения.
Величина погрешности k из-за кривизны Земли в отсчёте по рейке, находящейся на расстоянии L от нивелира, может быть оценена по формуле:
где R – радиус Земли.
Из всего сказанного следует однозначный вывод о том, что составляющая погрешности нивелирования, обусловленная влиянием кривизны Земли, может быть исключена из результатов измерений путем выполнения определенных правил нивелирования. Но главное — это то, что данная составляющая погрешности ни коим образом не относится к поверяемому нивелиру и к его метрологическим характеристикам, которые необходимо определять в процессе поверки.
2. Влияние рефракции атмосферы
Рассмотрим снова рисунок 4. Визирные лучи (3), проходя в атмосфере через слои воздуха, имеющие разную плотность, искривляются, отклоняясь в сторону земной поверхности. Составляющая погрешность в отсчёте, обусловленная влиянием атмосферной рефракции, rЗ
= (З3 – З2 ), rП = (П3 – П2), может быть оценена по приближённой формуле:
При нивелировании из середины (при симметричной схеме) rЗ = rП , т.е. эти составляющие погрешности исключаются из значения полученного превышения, а при нивелировании вперёд rЗ значительно меньше rП, что приводит к увеличению погрешности в определении превышения, обусловленной влиянием атмосферной рефракции.
Необходимо отметить, что данная составляющая погрешности превышения так же, как и влияние кривизны Земли, не имеет никакого отношения к нивелиру.
3. Невыполнение главного условия нивелира
Если в нивелире не выполняется главное условие, т.е. после установки нивелира в рабочее положение визирный луч (4) займет не горизонтальное положение (рисунок 4), а будет отклонен от него на угол i, то отсчёты по рейкам будут равны З4 и П4.
Разности отсчётов (З4 – З1) и (П4 – П1) характеризуют погрешность из-за невыполнения главного условия нивелира. Её величина может быть оценена по формуле:
где ρ = 206265"; L — длина измерительного плеча.
При нивелировании из середины, при использовании симметричной схемы измерений, погрешности в отсчётах по рейкам из-за невыполнения главного условия нивелира будут одинаковыми и исключаться в разности отсчётов. При нивелировании вперёд превышение будет содержать систематическую погрешность, если визирная ось зрительной трубы не будет при измерениях совпадать с горизонтальной плоскостью.
Суммируя сказанное, сделаем следующий вывод: при нивелировании из середины влиянием кривизны Земли, рефракцией атмосферы, остаточным невыполнением главного условия нивелира, как систематическими погрешностями, можно пренебречь (при соблюдении требований, установленных методикой измерений)
Но, так как эта составляющая погрешности нивелирования напрямую относится к нивелиру, все же остановимся на ней немного подробнее.
Рисунок 5 — Геометрическое нивелирование на станции (плечи равны)
На рисунке 5 мы видим, что нивелировка проводится методом "из середины", то есть соблюдается условие равенства плеч (Lз = Lп). Очевидно, что вследствие наклона визирной оси на угол i, вместо верных отсчетов a и b будут прочтены отсчеты a1и b1. Вследствие равенства расстояний до реек ошибки в обоих отсчетах будут одинаковыми, Δa = Δb. Вычисленное при этом превышение будет равно:
h=a1−b1=(a+Δa)−(b+Δb)=a−b,
То есть вычисленное превышение будет свободно от погрешности, вызванной несоблюдением главного условия нивелира.
Но в реальности, зачастую, по разным причинам невозможно выдержать равенство плеч, что проиллюстрировано на рисунке 6.
Рисунок 6 — Геометрическое нивелирование на станции (плечи не равны)
Очевидно, что в данном случае Δa ≠ Δb, а значит отклонения в отсчетах по рейкам невозможно полностью исключить из расчетов и значение превышения между точками не будет свободным от влияния невыполнения главного условия нивелира. Тем не менее в инструкциях по нивелированию, в частности в ГКИНП 03-010-03, а так же в методике поверки МИ БГЕИ 07-90 регламентируется значение угла i, ограниченное 10''. Очевидно, что чем меньше это значение, тем меньше будет значение погрешности нивелирования на станции, а следовательно и на 1 км двойного хода. Значение погрешности нивелирования также минимизируется программой измерений, в которой предусматривается четное количество станций, чередование неравенства плеч, а также предельную величину неравенства плеч на станции. Так же очевидно, что знание конкретного значения угла i и разницы в длине плеч на станции позволит нивелировщику вычислить поправку к вычисленному значению превышения между точками, при условии, конечно, если значение угла i будет стабильным во времени.
4. Погрешность установки зрительной трубы
Данная погрешность обусловлена неточностью установки пузырька цилиндрического уровня в нульпункте (для нивелиров с уровнем при трубе), а также недостаточной чувствительностью уровня к малым перемещениям трубы элевационным винтом. Здесь же следует указать и на недостаточную чувствительность компенсатора у нивелиров с компенсатором (систематическая погрешность компенсатора).
Погрешность установки зрительной трубы может быть расcчитана по формуле:
где mδ – погрешность установки пузырька уровня при трубе в нуль-пункт, значение которой принято оценивать как 0,1δ (δ — цена деления уровня при трубе); ρ = 206265'';
L — длина измерительного плеча.
Погрешность нивелирования на станции, обусловленная погрешностью установки зрительной трубы рассчитывается по формуле:
5. Погрешность отсчёта по рейке
Погрешность отсчета по рейке определяется недостаточной разрешающей способностью зрительной трубы нивелира и может быть вычислена по формуле:
где ГХ– увеличение зрительной трубы;
L — длина измерительного плеча; ρ = 206265'';
6. Погрешность в отсчёте из-за наклона рейки
На рисунке 7 изображено влияние наклона рейки на погрешность отсчета.
Рисунок 7 — Влияние наклона рейки на точность отсчета
Из рисунка 7 очевидно, что чем больше наклон рейки, тем больше будет и погрешность отсчёта. Предположим, что рейка отклонилась от вертикального положения на угол α. Визирный луч находится на высоте ао, соответствующей вертикальному положению рейки. Из- за наклона по рейке читается отсчёт а. Погрешность из-за наклона рейки может быть получена по формуле:
а превышения на станции – по формуле:
Предположим, что α = 1о (ρ = 57,3о), ао= 2000 мм. Тогда ∆hH= 0,43 мм. Для частичного устранения погрешности, возникающей из-за наклона рейки, при техническом нивелировании и нивелировании средней точности при больших отсчётах по рейке, реечник выполняет качание рейкой в направлении наблюдателя с переходом через вертикальное положение. Наблюдатель при этом фиксирует минимальный отсчет.
При точном и высокоточном нивелировании используют нивелирные рейки, снабжённые круглым или цилиндрическим уровнем. В этом случае реечник удерживает рейку или закрепляет её с помощью рейкодержателя в вертикальном положении по показанию уровня, что позволяет исключить погрешность в отсчете из-за наклона рейки.
7. Погрешность в дециметровых делениях рейки
Используемые при техническом нивелировании нивелирные рейки могут иметь погрешности в дециметровых делениях шкал до 0,7 мм, что допускается технической инструкцией. Для превышения, определяемого по различным дециметровым диапазонам, погрешность может составить ∆hд = 1 мм для реек, используемых для технического нивелирования.
8. Погрешность округления отсчёта
Эта погрешность оценивается как 0,1 часть наименьшего деления рейки. То есть, если используется рейка с сантиметровыми делениями, то погрешность округления составит 1 мм, а для измеренного превышения ∆hо= 1,41 мм. Для высокоточных нивелиров типа Н-05 данная погрешность будет намного меньше из-за наличия у нивелира микроскопа-микрометра и для превышения на станции будет равна 0,01 - 0,02 мм.
Таким образом, резюмируя сказанное выше, погрешность нивелирования на станции может быть вычислена по формуле:
где k — влияние кривизны Земли; f — влияние атмосферной рефракции; u — влияние, обусловленное невыполнением главного условия нивелира; ∆hТ — влияние погрешности установки зрительной трубы; mтр— влияние погрешности отсчета по рейке, обусловленное пределом разрешения зрительной трубы; ∆hH — влияние, обусловленное наклоном рейки;
∆hд — влияние погрешности дециметровых делений; ∆hо — влияние погрешности округления отсчета.
Погрешность же нивелирования на 1 километр двойного хода вычисляется по формуле:
где N — количество станций в нивелирном ходу.
Как видно из всего сказанного, простой перевод значения погрешности нивелирования из линейной меры в угловую, как это предлагается в ГПС 2482-18, не может быть произведен, а соответственно и нормирование его значения, а также выбор эталона для проведения поверки нивелиров выполнены совершенно некорректно, без учета принципов геометрического нивелирования и факторов, влияющих на его погрешность. Сказанное справедливо можно также отнести и к подавляющему большинству разрабатываемых сегодня методик поверки нивелиров оптических.
Практически все современные методики поверки нивелиров, разрабатываемые различными организациями, регламентируют при первичной и периодической поверках, а так же при поверке нивелира после ремонта обязательное экспериментальное определение средней квадратической погрешности нивелирования на 1 километр двойного хода. При этом методики требуют, чтобы измерения производились на высотном стенде в соответствии с ГОСТ 10528, а регламентируемое количество промеренных нивелирных ходов при этом зачастую указывается в этих методиках числом не менее десяти.
Подобный подход к созданию методик поверки приводит к значительному увеличению трудоемкости определения метрологических характеристик нивелиров, а зачастую и к невозможности определения оных, при том, что подавляющая часть факторов, влияющих на значение СКП нивелирования, производимого на высотном стенде не имеют никакого отношения к самому нивелиру и просто исключаются из результатов измерений методом проведения этих измерений. Это утверждение очень легко доказать, если внимательно и вдумчиво прочитать ГОСТ 10528.
Начнем с того, что, в соответствии с требованиями ГОСТ 10528, полевой стенд для испытаний нивелиров должен включать в себя нивелирную сеть, образующую на местности фигуру в виде прямоугольника с размерами сторон а ≈ 100 м и b ≈ 30 м, вершины которого закреплены реперами. На каждом репере неподвижно и вертикально устанавливают нивелирные станции. Станцию II (рисунок 8 располагают в центре фигуры, станции I и III - на продольной оси примерно в 10 м по обе стороны от станции II. Станции IV и V (рисунок 9) располагают примерно в 50 м по обе стороны от станции II.
Рисунок 8 — Схема полевого стенда (часть 1)
Рисунок 9 — Схема полевого стенда (часть 2)
Со станций I, II, III и станций II, IV, V прокладывают два замкнутых нивелирных хода, нивелируя точки в последовательности 1-2-3-4-1 и набирая прямой ход длиной около 1 км.
Затем в обратных ходах осуществляют нивелирование точек в последовательности 1-4-3-
2-1.
После проложения нивелирных ходов получают невязки в прямом и в обратном fобр ходах
и вычисляют среднюю квадратическую погрешность измерения превышений на 1 км двойного хода. Под невязкой хода понимают отклонение измеренной нивелиром суммы превышений от теоретического значения, равного нулю.
Как видно из приведенных выше схем, на всех пяти станциях нивелирования строго соблюдается условие равенства плеч, а это значит, что большая часть из влияющих на погрешность нивелирования факторов исключается из результатов измерения превышений на полевом стенде. Более подробно этот факт описан в таблице 1.
Таблица 1 — Факторы, влияющие на точность нивелирования
|
Влияющий фактор по формуле (17) |
Отношение к поверяемому нивелиру |
Возможность исключения из бюджета погрешности нивелирования |
|
k |
не относится |
Исключается из результатов измерений вследствие равенства измерительных плеч на полевом стенде. |
|
f |
не относится |
Исключается из результатов измерений вследствие равенства измерительных плеч на полевом стенде. |
|
u |
относится |
Исключается из результатов измерений вследствие равенства измерительных плеч на полевом стенде. |
|
∆hТ |
относится |
Не исключается из результатов измерений, но может быть рассчитан теоретически, как фактор, зависящий от конструктивных показателей нивелира. Практически определяется для нивелиров с уровнем при первичной поверке, а так же после ремонта, в случае замены уровня при трубе нивелира.
Определяется во всех случаях для нивелиров с компенсатором, как систематическая погрешность компенсатора и погрешность установки визирной оси. |
|
mтр |
относится |
Не исключается, но вычисляется теоретически, как зависимость от кратности увеличения трубы нивелира и величины измерительного плеча. |
|
∆hH |
не относится |
Исключается из результатов измерений путем установки нивелирных реек на пунктах полевого стенда в вертикальное положение с помощью рейкодержателей и уровней на рейках. |
|
∆hд |
не относится |
Не исключается, но минимизируется путем поверки нивелирных реек. |
|
∆hо |
частично к высокоточным нивелирам с микроскопом- микрометром |
Не исключается, но является фактором, вычисляемым теоретически в зависимости от наличия микроскопа- микрометра (для высокоточных нивелиров) и по показателю, зависящему от применяемой при нивелировании рейки. |
Таким образом мы видим, что при нивелировании на полевом стенде влияющими на значение СКП нивелирования являются только погрешность установки зрительной трубы, погрешность отсчета по рейке, обусловленная коэффициентом увеличения зрительной трубы, и погрешность из-за округления отсчета. При этом в условиях реального нивелирования очень тяжело соблюсти равенство измерительных плеч, а это значит, что на качество нивелирования будет оказывать существенное влияние невыполнение главного условия нивелира, которое должно в обязательном порядке контролироваться при поверке нивелира.
Важно также отметить, что использование полевого высотного стенда в зимний период сильно затруднено, если вообще возможно. Размещение же высотного стенда в помещении не представляется возможным из-за его больших габаритов (100 х 30 м). А ведь поверка нивелиров проводится в основном в период между полевыми сезонами, то есть в осенне- зимний период.
Проведение поверки в соответствии с ГОСТ 10528, указанным в большинстве современных методик, оправдано лишь для определения метрологических характеристик нивелиров при их выпуске из производства с целью контроля соответствия технических параметров изготавливаемых нивелиров их теоретическим значениям. В данном контексте поверка должна рассматриваться, как конечное звено производственно-технологического цикла. Но, из-за сложности и дороговизны данного вида работ, даже на производстве они выполняются выборочно в то время, как современные методики поверки регламентируют их выполнение для каждого из поверяемых нивелиров.
Кроме того необходимо отметить тот факт, что в большинстве современных методик при периодической поверке уделяется неоправданно пристальное внимание такому параметру, как погрешность измерения горизонтальных углов нивелирами с угломерным лимбом. Дело все в том, что данная функция, имеющаяся у большинства современных нивелиров, является дополнительной и предназначается лишь для удобства поиска проектных нивелирных реперов и точность измерения углов этим ориентирным приспособлением не может рассматриваться в качестве метрологической характеристики нивелира, так как его прямым предназначением является определение превышений между точками земной поверхности. Углы же на местности измеряются совершенно иными средствами измерений — теодолитами и тахеометрами.
Все вышесказанное подтверждает абсолютную несостоятельность подавляющего большинства методик поверки нивелиров (а их в Федеральном информационном фонде зарегистрировано около четырех десятков) и говорит о том, что авторы этих методик при их написании проявили формалистический, бездумный подход к вопросу определения метрологических характеристик нивелиров.
Поэтому при периодической поверке нивелира необходимо и достаточно определять следующие его метрологические характеристики:
а) правильность установки сетки нитей (разворот сетки нитей);
б) угол между визирной осью нивелира и горизонтальной плоскостью (угол i);
в) диапазон работы компенсатора нивелира (для нивелиров с компенсатором);
г) систематическая погрешность компенсатора нивелира (для нивелиров с компенсатором);
д) погрешность установки визирной оси (для нивелиров с компенсатором);
е) цена деления микроскопа-микрометра (для высокоточных нивелиров);
ж) коэффициент нитяного дальномера.
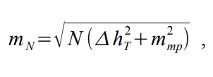
Все эти характеристики нивелира могут быть определены в лабораторных условиях без применения полевого стенда с помощью автоколлимационной установки для поверки нивелиров, а не какого-то непонятного компаратора, который предлагается использовать в соответствии с ГПС 2482-18. Инструментальная же погрешность нивелира в общем случае может быть рассчитана по формуле:
где ∆hТ — влияние погрешности установки зрительной трубы, рассчитываемая по
формуле; mтр — влияние погрешности отсчета по рейке, обусловленное пределом разрешения зрительной трубы, рассчитываемая по формуле; N — количество станций в нивелирном ходу.
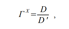
Здесь необходимо уделить внимание такому аспекту, как определение предела разрешения зрительной трубы, напрямую зависящего от ее увеличения ГХ, которое определяется с помощью динаметра Рамсдена. На рисунке 10 представлена оптическая схема, включающая в себя собственно зрительную трубу оптического прибора и динаметр Рамсдена.
Рисунок 10 — Схема определения увеличения зрительной трубы оптического прибора
Смысл действий, производимых для определения увеличения зрительной трубы оптического прибора, сводится к установлению соотношения физического размера диаметра объектива оптического прибора и диаметра объектива, наблюдаемого в поле зрения динаметра через окуляр зрительной трубы, настроенной на бесконечность. То есть увеличение зрительной трубы может быть рассчитано по формуле:
где D — физический диаметр объектива зрительной трубы; D' — диаметр объектива зрительной трубы, измеренный по шкале динаметра.
Таким образом можно с уверенностью утверждать, что поверочная схема ГПС 2482-18 должна быть переработана с учетом всех указанных фактов. Кроме того должна быть разработана единая, унифицированная методика поверки нивелиров оптических, распространяющаяся на все их типы и модели и учитывающая нюансы геометрического нивелирования и выводы данной статьи. Требование об унификации методики поверки нивелиров оптических обусловлено тем, что их принцип работы для всех моделей и марок абсолютно одинаков, а разница в точности взятия отсчетов возникает из-за различных значений коэффициентов увеличения зрительных труб всех моделей нивелиров.
Тем не менее нивелиры должны быть включены в ГПС СИ плоского угла, так как основной параметр нивелира — невыполнение главного условия — является угловой величиной и определяется с помощью эталонов единицы плоского угла, хоть и не такой высокой точности, как это указано в рассматриваемой поверочной схеме.
Мне уже не хочется задаваться риторическим вопросом «Кто виноват?», а ответ на технический вопрос «Что делать?» мне уже давно понятен и известен. Поэтому осталось только лишь надеяться на то, что на создавшееся положение все же обратят внимание те, кому это положено по роду службы и оно рано или поздно будет исправлено.
Список использованной литературы:
1. Приказ №22 Федерального агентства по техническому регулированию от 19 января 2016 года;
2. Приказ №2482 Федерального агентства по техническому регулированию от 26 ноября 2018 года;
3. ГОСТ 10528-90 Нивелиры. Общие технические условия;
4. ГОСТ 22268-76 Геодезия. Основные термины и определения;
5. РМГ 29-2013 ГСИ Метрология. Основные термины и определения;
6. МИ БГЕИ 07-90 Нивелиры. Методика поверки;
7. Поклад Г. Г, Гриднев С. П. Геодезия: Учеб. пособие для вузов — 4-е изд., перераб. и доп. - М.: Академический проект, 2013. - 538 с. - (Фундаментальный учебник);
8. Статья «Увеличение зрительной трубы» на информационном студенческом ресурсе
«Студопедия.нет» - https://studopedia.net/13_52113_opredelenie-uvelicheniya-zritelnoy-trubi.html
|
Геометр |
|
























0 комментариев
Рекомендуемые комментарии
Комментариев для отображения не найдено.